Products Center

UL-1332

UL-1332

PRODUCT DESCRIPTION
Rated temperature:200℃
 Rated voltage:300V
●参考标准:UL758,UL1581,CSA C22.2No.210.2
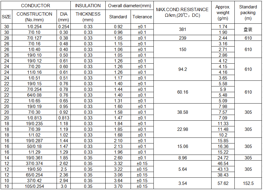
●导体使用单支或绞合 30~10 AWG 镀锡或裸铜
FEP 绝缘,符合ROHS 环保标准
●通过UL VW-1CSA FT1 阻燃测试
●绝缘厚度均匀、易裁线、易剥皮
●用于一般电子、电器设备内部连接线 

CABLE CONSTRUCTION

1332英.png
86 0592-5213852